L’adesione a
modelli alimentari sani può prevenire lo sviluppo di malattie non trasmissibili e influenzare l’aspettativa di vita.
Uno
studio recentemente pubblicato, utilizzando i dati di una coorte prospettica basata sulla popolazione provenienti dalla UK Biobank, ha evidenziato che il cambiamento da modelli dietetici non salutari alle
raccomandazioni dietetiche della
Eatwell Guide è associato a un aumento di 8,9 e 8,6 anni nell'aspettativa di vita per i maschi di 40 anni e femmine, rispettivamente.
Nella stessa popolazione, un
prolungato cambiamento alimentare da modelli alimentari malsani a quelli associati alla longevità, si concretizza in un
aumento dell’aspettativa di vita di 10,8 e 10,4 anni rispettivamente nei maschi e nelle femmine.
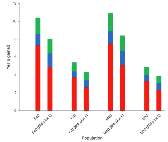
Figura 2 (e
tabella 1 e
supplementary information non qui riportate).

Anni di vita attesi guadagnati dopo il
passaggio da modelli alimentari medi non salutari (rosso), il passaggio dai modelli alimentari mediani alla Guida Eatwell (blu) e il passaggio dalla Guida Eatwell ai modelli alimentari associati alla longevità (verde) per donne e uomini di 40 anni adulti maschi (rispettivamente F40 e M40) e adulti maschi e femmine di 70 anni (rispettivamente F70 e M70) del Regno Unito.
Vengono presentati sia i modelli core-adjusted (aggiustati per età, sesso, area socio-demografica, fumo, consumo di alcol e livello di attività) sia i modelli di mediazione (aggiustati per energia e indice di massa corporea - BMI più E).
È importante sottolineare che il
guadagno stimato nell’aspettativa di vita è di circa un decennio per coloro che passano dai modelli alimentari più malsani a quelli associati alla longevità. Nel complesso, quanto maggiori saranno i cambiamenti apportati verso modelli alimentari più sani, tanto maggiori saranno i
guadagni attesi in termini di aspettativa di vita.
Si stima che consumare meno bevande zuccherate e carni lavorate e mangiare più cereali integrali e noci porti ai maggiori miglioramenti nell’aspettativa di vita (vedi
figura 1).

I dati sono presentati come
rapporti di rischio e relativi intervalli di confidenza al 95%. I gruppi di riferimento erano il quintile più basso di assunzione per ciascun gruppo alimentare. Le analisi sono state aggiustate per età, sesso, deprivazione socio-demografica basata sull’area, fumo, consumo di alcol e livello di attività fisica. Le categorie non salutari sono mostrate in rosso, la longevità associata è mostrata in verde e verde scuro e le raccomandazioni Eatwell sono mostrate in blu. La categoria verde scuro presentava grandi incertezze; quindi, la versione forte (robust version) dei modelli alimentari più sani è in verde (non verde scuro).
L’analisi di sensibilità, aggiustata anche per l’indice di massa corporea e il consumo energetico, ha indicato che l’indice di massa corporea e il consumo energetico potrebbero parzialmente mediare e/o confondere un possibile effetto benefico sull’aspettativa di vita per i
cereali integrali, la
verdura e la
frutta, e inversamente per la carne rossa e le uova.
Per la carne bianca, le associazioni erano più forti tenendo conto dell’apporto energetico e dell’indice di massa corporea, mentre la situazione era mista per i legumi.
Queste stime corrispondono bene alle meta-analisi sulle associazioni tra
assunzione di gruppi alimentari e mortalità.
Le stime degli autori riprese dalla UK Biobank sono rafforzate da meta-analisi di studi randomizzati sul consumo di vari gruppi alimentari e dal punteggio dei biomarcatori delle malattie, rispecchiando le stime di questo studio per frutta secca, legumi e cereali integrali che hanno dato i risultati più benefici, e per bevande zuccherate e carne rossa che hanno dato i peggiori.
Gli autori dello studio presentano anche una
stima dei guadagni in salute associati all’adesione alle raccomandazioni della Eatwell Guide, dimostrando che la guida è ben tracciata dal punto di vista della longevità.
I guadagni nell’aspettativa di vita derivanti dai cambiamenti da un’alimentazione non sana alla Eatwell Guide, raggiungono l’
82-83% del potenziale, comparati a quelli derivanti da cambiamenti sostenuti da modelli associati alla longevità.
La Eatwell Guide potrebbe quindi anche essere un obiettivo più realistico per i
cambiamenti dietetici rispetto ai modelli dietetici associati alla
longevità, stabiliti statisticamente.
Non sorprende che i miglioramenti previsti nell’aspettativa di vita siano inferiori, pur rimanendo sostanziali, quando il
cambiamento della dieta viene avviato
in età avanzata.
Ad esempio, è stato stimato che le persone all’età di 70 anni potrebbero aspettarsi di beneficiare di circa la metà dell’aumento dell’aspettativa di vita previsto per gli adulti all’età di 40 anni, equivalente a un guadagno in 1,5 anni se si ottimizzano i modelli dietetici mediani, e 4-5 anni per chi abbandona i modelli alimentari poco salutari.
Comprendere il contributo di prolungati cambiamenti alimentari all’aspettativa di vita, può fornire una guida per lo sviluppo di politiche sanitarie.
L’
editoriale di commento allo studio termina però con una giusta riflessione: «la misura di quanto possiamo vivere seguendo le raccomandazioni della Guida Eatwell è promettente, seppur ambiziosa. La sfida sta ora nel capire come superare le attuali barriere per rendere la Guida di Eatwell un'opzione accessibile a livello di popolazione».
Per saperne di più:
 |
Life expectancy can increase by up to 10 years following sustained shifts towards healthier diets in the United Kingdom Fadnes LT, Celis-Morales C, Økland JM, Parra-Soto S, Livingstone KM, Ho FK, Pell JP, Balakrishna R, Javadi Arjmand E, Johansson KA, Haaland ØA, Mathers JC. Nat Food. 2023 Nov;4(11):961-965. doi: 10.1038/s43016-023-00868-w. Epub 2023 Nov 20. PMID: 37985698; PMCID: PMC10661734.
|
 |
Live to eat and eat to live longer Adler A, Saksena R. Nat Food. 2023 Nov 28. doi: 10.1038/s43016-023-00898-4. Epub ahead of print. PMID: 38017189. |
Per approfondire: