Le evidenze emergenti suggeriscono che
molte persone che sopravvivono alla malattia Covid-19, avranno
sintomi persistenti, che
influiranno negativamente sulle loro funzioni, sulla qualità della vita e sulla capacità di lavorare.
Questo gruppo di persone con una
condizione post-COVID-19, può sembrare piccolo rispetto al numero complessivo di persone infettate.
Tuttavia, è probabile che molti pazienti che sopravvivono a COVID-19 abbiano:
- un considerevole carico di sintomi
- un elevato bisogno e utilizzo delle risorse di servizi sanitari
- una ridotta produttività economica
- e forse una riduzione dell'aspettativa di vita.
Lo
studio di Bhaskaran e colleghi, pubblicato su PLOS Medicine, affronta un'area in evoluzione poco studiata e importante per la politica sanitaria e per la
pianificazione relativa alla cura dei
pazienti che sopravvivono dopo il ricovero dovuto a COVID-19.
I punti chiave dello studio
Perché è stato fatto questo studio?
- Precedenti studi hanno suggerito che alcune persone infette da SARS-CoV-2 potrebbero essere a rischio di sviluppare problemi di salute nei mesi successivi all'infezione iniziale. Dati gli alti tassi d’infezione in molti paesi, questa è una preoccupazione significativa per la salute pubblica, ma attualmente ci sono prove limitate per fornire informazioni per scelte politiche.
- Lo scopo di questo studio era di quantificare sistematicamente la misura in cui possono essere a maggior rischio di morte o di riammissione in ospedale, sia nel complesso che per malattie specifiche, le persone che sono state ricoverate in ospedale con COVID-19, rispetto alle persone nella popolazione generale e alle persone che sono state ricoverate in ospedale per influenza.
Cosa hanno fatto e trovato i ricercatori?
- E’ stato utilizzato un disegno di studio di coorte per confrontare i rischi di ricovero e morte, nel complesso e per una serie di cause specifiche, tra:
- persone ricoverate in ospedale con COVID-19 (n = 24.673)
- persone con caratteristiche demografiche simili nella popolazione generale del 2019 (n = 123.362)
- persone che erano state ricoverate in ospedale per l’ influenza nel 2017-2019 (n = 16.058).
- Rispetto alle persone nella popolazione generale, le persone che hanno avuto un ricovero per COVID-19 avevano più del doppio delle probabilità di essere riospedalizzate o di morire più di una settimana dopo la dimissione, con rischi complessivi più elevati e per una serie di cause specifiche.
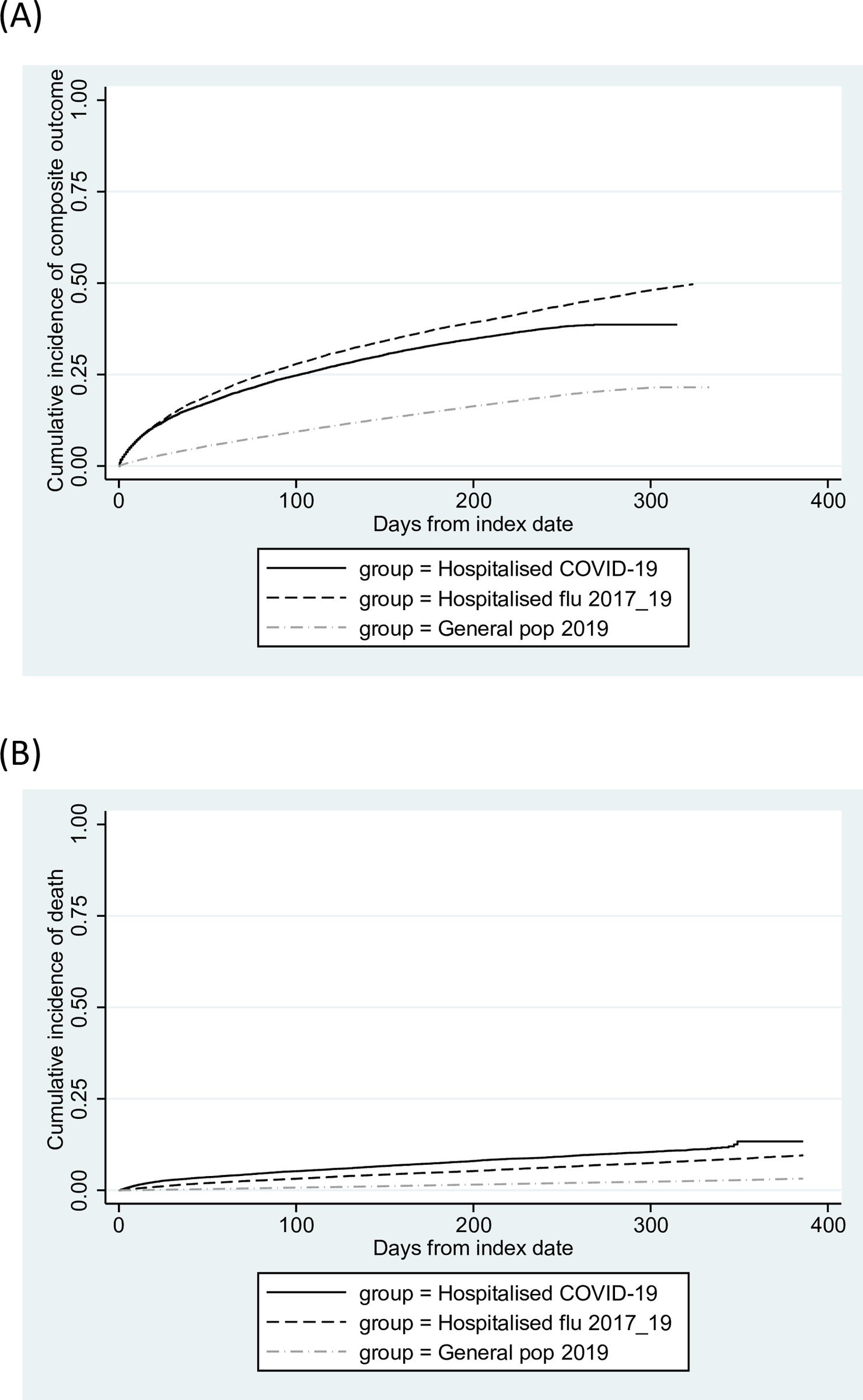
Le
figure 2 e 3 mostrano graficamente alcuni risultati dello studio.
 |
|
 |
|
|
|
Fig 2. Incidenza cumulativa di (A) ricovero o morte (esito composito) e (B) mortalità per tutte le cause, in pazienti dimessi da ricoveri ospedalieri per COVID-19, ricoveri ospedalieri per influenza e nella popolazione generale abbinata al controllo. Apri l'immagine in una risoluzione maggiore |
|
Fig.3 Hazard Ratio che confrontano l'esposizione (precedente ricovero per COVID-19) e i controlli per il rischio di successivo ricovero in ospedale o morte (esito composito) e mortalità per tutte le cause. Nota: Tutti i modelli sono ristretti alle persone con dati completi su BMI e fumo (n = 23.153/24.673 (94%) nel gruppo COVID-19, 113.757/123.362 (92%) nel gruppo di controllo nella popolazione generale e 14.904/16.058 (93%) nel gruppo di controllo per influenza (vedi nei dati supplementari S1 Table). Il tempo mediano a rischio nel gruppo con COVID-19 era di 61 giorni per l'esito composito e 167 giorni per la morte; il tempo totale a rischio ha seguito una distribuzione bimodale. Apri l'immagine in una risoluzione maggiore |
Le
incidenze cumulative di ricoveri ospedalieri o decessi specifici per causa sono mostrate nella
figura 4.
Dopo l'aggiustamento per fattori di corrispondenza e altre covariate, i
rischi di tutti gli esiti specifici per causa erano sostanzialmente
più elevati nei gruppi COVID-19 rispetto ai controlli della popolazione generale (vedi
figura 5).
Cosa significano questi risultati?
- Un gran numero di persone è stato ricoverato in ospedale con COVID-19 durante la pandemia e i maggiori rischi di morte e riammissione in ospedale che sono stati osservati in questi individui potrebbero avere un impatto significativo sulla salute pubblica e sulle risorse.
- I rischi potrebbero essere ridotti al minimo o mitigati aumentando il monitoraggio dei pazienti nei mesi successivi alla dimissione dall'ospedale e una maggiore consapevolezza tra pazienti e medici dei potenziali problemi.
Per saperne di più:
 |
Overall and cause-specific hospitalisation and death after COVID-19 hospitalisation in England: A cohort study using linked primary care, secondary care, and death registration data in the OpenSAFELY platform. Bhaskaran K, Rentsch CT, Hickman G, Hulme WJ, Schultze A, Curtis HJ, Wing K, Warren-Gash C, Tomlinson L, Bates CJ, Mathur R, MacKenna B, Mahalingasivam V, Wong A, Walker AJ, Morton CE, Grint D, Mehrkar A, Eggo RM, Inglesby P, Douglas IJ, McDonald HI, Cockburn J, Williamson EJ, Evans D, Parry J, Hester F, Harper S, Evans SJ, Bacon S, Smeeth L, Goldacre B. PLoS Med. 2022 Jan 25;19(1):e1003871. doi: 10.1371/journal.pmed.1003871. PMID: 35077449. |
Per approfondire: